
A Peugeot termékei gyakorlatilag a cég megalapítása óta jelen vannak hazánkban, azonban a rendszerváltás utáni hivatalos gépjármű importőri képviselet „csak” 30 éve, 1993-ban kezdte meg működését Magyarországon. Az elmúlt harminc évben sokat fejlődött a márkakereskedői és a szervizhálózat egyaránt, miközben a termékpaletta is jóval szélesebb lett. Az alapelvek azonban változatlanok: a Peugeot Magyarországon is a kiváló minőség, az elragadó design és az élvezetes vezetés szinonimája kíván lenni!

1993., micsoda év volt! Bemutatták a mozikban a Jurassic Parkot, a Danubius rádióból a Rapülők és a 2 Unlimited legújabb slágerei szóltak, felbomlott Csehszlovákia és Magyarországon megalapították a Peugeot Hungária Kft.-t! A döntés nem volt magától értetődő, hiszen a rendszerváltás utáni gazdasági krízis javában tombolt, a munkanélküliség és az infláció tetőzött, a szomszédban dúlt a délszláv háború. A hazai autópiac ebben az időszakban három részre oszlott: tízezrével érkeztek be a használt nyugati autók (bár egyre nagyobb vámtételekkel próbálták fékezni az importot) még jól szerepeltek az árban versenyképes ex-szocialista modellek de már sorban érkeztek a drágábbnál-drágább új nyugati típusok is, melyeket még kevesen engedhettek meg maguknak.

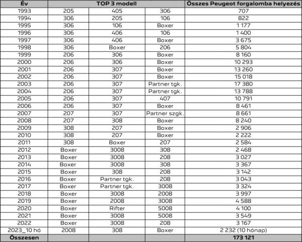
A nehéz körülmények ellenére Párizsban úgy döntöttek – bölcsen felismerve a piacban szunnyadó potenciált – hogy hivatalosan is belépnek a magyar piacra és a korábbi szerződéses kapcsolat helyett hivatalos gyári importőrt, valamint márkakereskedői hálózatot hoznak létre. Az elhatározást tettek követték, 1993-ban kérelmezték a Peugeot Hungária Kft. bejegyzését és létrehozták a helyi leányvállalatot. Ebben az évben a legnépszerűbb modell még a 205-ös volt, de szépen fogyott a 405-ös és már Magyarországon is elérhető volt a vadonatúj 306 vagy a friss 106-os is. Ennek ellenére összesen mindössze 707 db új Peugeot talált gazdára 1993-ban. Bizonyára ennek többszöröse érkezett be használt autóként, hiszen a strapabíró és kényelmes kocsiként számon tartott Peugeot, a „francia Mercedes” – ahogy akkoriban hívták, nagyon népszerű volt a nyugati autókra kiéhezett vásárlók körében.

1993-ban még senki sem gondolta, hogy 10 évvel később, 2003-ban a Peugeot már több mint 17.000 (!) új autót értékesít az országban, ezzel az ötödik legkeresettebb márka lesz hazánkban, több mint 7%-os piaci részesedéssel. Ehhez persze olyan jó ár-érték arányú bestseller modellek is kellettek, mint a 206 vagy a 307, melyek soha nem látott népszerűséget hoztak a Peugeot-nak Magyarországon.

A növekvő érdeklődés kiszolgálásához természetesen szükség volt egy kiterjedt, európai szintű márkakereskedői és szervizhálózatra is. 2001-ben itthon nyílt a világon elsőként olyan „Blue Box” típusú márkakereskedés, amely nagy alapterületen kínált integrált szolgáltatásokat és bevezette a márka új arculatát. 2004-ben a Peugeot már 41 márkakereskedéssel várta országszerte az érdeklődőket. Az országos szervizhálózat kiépülése nagyban segítette a flottaértékesítést is, így a Peugeot a céges piacon és a haszonjárművek területén is meghatározó szereplő lett. A 2008-2009-es válságot követően ez egyre nagyobb mértékben járult hozzá a márka sikeréhez, a legnépszerűbb modellek közé bekerültek a kishaszongépjárművek és a cégek által keresett középkategóriás modellek.

A Peugeot hálózat jelenleg 29 értékesítési ponttal és 37 márkaszervizzel várja az ügyfeleket. Ezek közül számos kereskedő már a kezdetek óta képviseli a márkát, biztosítva a folyamatos és hozzáértő kiszolgálást a ’90-es évek óta. A Peugeot magyarországi importőre 2016. februárjától az Emil Frey csoport égisze alatt működik, változatlan szolgáltatásokkal és elkötelezettséggel szolgálva a márka hazai fejlődését. A hálózat és az importőr 30 év alatt több mint 173.000 új autót értékesített és többszáz embernek ad munkát.

Az elmúlt 30 évben nemcsak a hálózat és a termékpaletta, de maga a kereskedelem is hatalmas változáson ment keresztül. Kezdetekben a márkakereskedők és az importőr, valamint az importőr és a gyártó közötti kommunikáció telefonon vagy postai úton, sürgős esetekben telefaxon zajlott. Gyakran előfordult, hogy a márkakereskedők készpénzben, táskában hozták be a készletre rendelt autók vételárát vagy a kereskedő maga indult trélerrel a frissen érkezett autóért. Az árlisták papírra nyomtatott formában, a termékfotók elegáns mappába csomagolt diaképeken voltak elérhetők, a készletnyilvántartás egy központi táblázatkezelő rendszerben futott. A növekvő hálózat és az egyre nagyobb volumenek kiszolgálására már a 90-es évek végén létrejött egy elektronikus kereskedelmi platform, mely digitalizálta a folyamatokat és valós időben lehetővé tette a készletek böngészését vagy gyártásrendelések feladását. Mára már a szolgáltatások és információk java része az online térbe költözött. Kérdés esetén élő chat operátor segítségét kérhetjük, online tudunk szervizidőpontot foglalni vagy árajánlatot kérni, böngészhetjük a készletet, mindezt anélkül hogy ki kellene mozdulnunk otthonról.

A Peugeot a jubileum megünneplésére nyílt héttel és különleges ünnepi akcióval készül. November 13. és 18. között speciális ajánlatokkal várjuk ügyfeleinket:
– Akciós finanszírozás 3,30% THM-mel a 2008, 3008, 5008 és 408 modellekre
– Akár 1.000.000 Ft kedvezmény a megújult 2008 modellre
– Akár 2.800.000 Ft kedvezmény a 3008 modellre
– 21 pontos szezonális átvizsgálás mindössze 11.900 Ft-tól és további szervizajánlatok

Különleges akcióinkkal a nyílt héten, szakértelmünkkel és vonzó modelljeinkkel pedig a következő 30 évben is változatlan odaadással várjuk az érdeklődőket!
Boldog Születésnapot Peugeot!
